(图文/任年、李昶)
10月7日,美高梅任年博士在国际学术期刊《Physics of Fluids》(AIP美国物理学会出版)发表题为“伯努利定理对弓激波上下游的适用性”(Applicability of Bernoulli's theorem to upstream and downstream of the bow shock)的研究论文,该论文被中科院二区(JCR一区)收录。

论文基本信息
伯努利定理(或伯努利方程)是流体和等离子体动力学中的一般性原理,阐明了稳定、可压缩或不可压缩的粘性流体或等离子体沿流线的能量守恒(以各种形式表示)。弓激波是流体和等离子体中的常见现象,了解弓激波上游和下游之间的物理关系至关重要。在空间等离子体中,弓激波附近两侧不连续的流体参数通常由众所周知的 Rankine-Hugoniot (R-H) 跃变条件来描述,该条件源自磁流体动力学 (MHD) 方程。质量、动量和能量守恒定律产生了 R-H条件,该条件描述了弓激波两侧等离子体的热力学变量、速度和磁场的跃变。R-H 条件已被广泛用于研究太阳风中的不连续性。与 R-H 跃变条件相比,广义的伯努利方程为地球弓激波两侧的太阳风提供了更简单的能量守恒公式,使其更适合研究从太阳风到磁层的能量传输。只要等离子体流是稳定的,伯努利方程就适用于整条流线。

太阳风从太阳传播到地球磁鞘的示意图
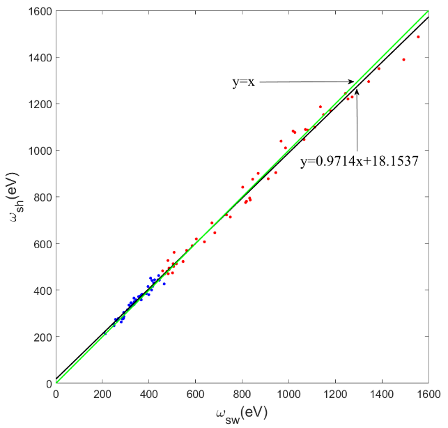
该论文利用OMNI数据库中的太阳风等离子体和行星际磁场数据,以及磁层多尺度卫星(MMS)观测的磁鞘等离子体和磁场数据,选取了95个事件,研究了从地球弓激波上游到下游(从未受激波影响的太阳风区域到受激波影响的磁鞘区域)的伯努利不变量。研究表明,广义伯努利方程的简化形式可以有效地描述等离子体从太阳风到磁鞘区域的能量守恒。

太阳风等离子体的特征能量(
)和地球磁鞘等离子体的特征能量(
)之间的对比
(责编/刘蕊 初审/李哲君 复审/石红芳 终审/周畅)